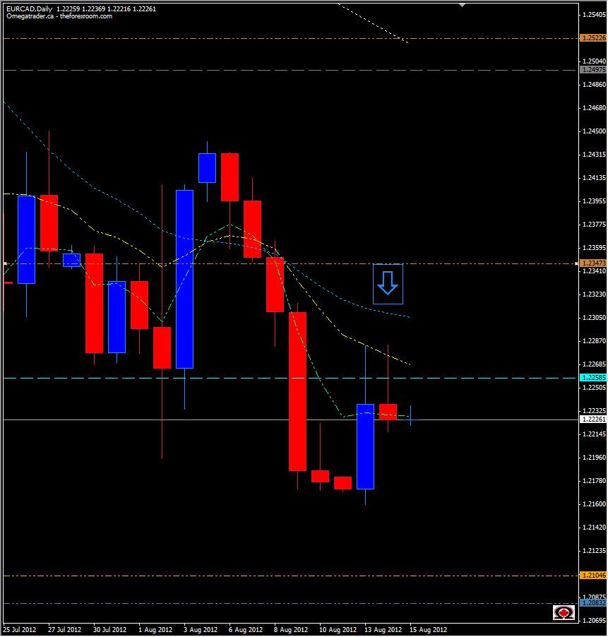
Dün EUR/CAD paritesi 1.2250 seviyesini kırmak için yeni bir girişimde bulunduysa da, bu hareket başarısızlıkla sonuçlandı. Pazartesi bütün zamanların en düşük seviyesi olan 1.2160 noktasından gelen alımlar ile yukarı yönde yutan formasyon oluşturan paritenin, 1.2250 seviyesinde bulunan dirence takıldığını görmekteyiz. Bunun neticesinde de (yakın zamanda Daily Forex yazarlarından Huzefa Hamid’in açıkladığı) bir çekiç formasyonu oluştuğunu grafikte görebiliriz. Bu formasyonun oluştuğu bölgenin konumuna göre güçlü dönüş sinyallerini algılamak mümkündür.
EUR/CAD paritesi için bu formasyon düşük fiyatların görülebileceği anlamına gelmektedir. Eğer parite tekrar düşüşe geçerse, karşımıza çıkacak ilk durak bir önceki dip seviyesi olan 1.2160 olarak görünmektedir. Bu seviyenin de kırılması halinde, aşağımız tamamen boş olduğundan, paritenin nereye ilerleyeceğini tahmin ederken pivot ve fibonacci seviyelerinden yararlanarak hareket etmemiz faydalı olacaktır.
Aşağı yönde 3 anahtar destek seviyesi dikkatimizi çekmektedir; aylık birinci destek olan 1.2104, haftalık birinci destek olan 1.2083 ve haftalık ikinci destek olan 1.1994. Kanada ekonomisinin kendisini toparlayarak güçlenmesi neticesinde Kanada doları doğal olarak değer kazanmaktadır. Tabi yükselen petrol fiyatlarının etkisini de unutmamak gerekir. Eğer petrol fiyatları yükselmeye devam ederse, Kanada doları diğer para birimleri karşısında güçlenmeye devam edecektir. Eğer CAD güçlenmezse, yukarı yönde bulunan direnç seviyeleri bize paritenin, 1.2250 seviyesini aştıktan sonra, ne şekil bir hareket izleyeceği yönünde fikir verecektir.
Karşımıza çıkacak ilk engel haftalık birinci direnç olan 1.2347 olacaktır. Bu seviyenin yukarısında ise Ağustos ayının en yükseği olan 1.2442, haftalık pivot olan 1.2497 ve haftalık ikinci direnç olan 1.2522 noktaları bulunmaktadır. Aylık pivot ve haftalık ikinci direnç seviyeleri (Temmuz/Ağustos aylarında yaşanan fiyat hareketi baz alındığında) Fibonacci %38.2 ve %50 seviyelerinin tam ortasında bulunmaktadır. Bu bölge yaşanabilecek bir tepki hareketi için ideal bir hedef olabilir. 62 günlük üstel hareketli ortalamanın da direnç görevi göreceğini tahmin ediyorum.
Bol Kazançlar!
